Биполярные транзисторы

Биполярным транзистором называется полупроводниковый прибор, имеющий два взаимодействующих между собой p-n–перехода.

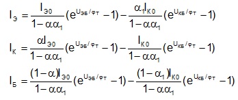
Для идеального транзистора выполняются следующие условия:

Вы прошли 0% лекции
0%